各位同學好,
114/06/07 為大家期待已久的👩🎓👨🎓會計系畢業撥穗典禮,期待大家與👩❤️👨家人共同一起前來共襄盛舉。
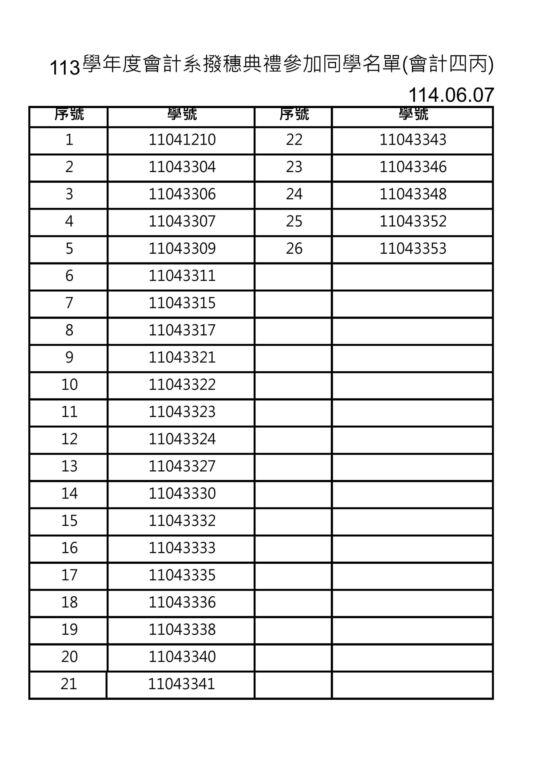
各班參加撥穗名單如下,提供各同學參考,請有參與同學準時出席。
【會計系撥穗典禮時間地點】
●日期 : 114/06/07(六)
●地點 : 培英廳
●時間 :
09:00-09:30 畢業生及師長入場
09:30 撥穗典禮開始
12:00-12:30散場
碩專班,碩士班,大學部各班上台參加撥穗順序(如下圖)及撥穗順序(如影片),提供各位同學參考,關於撥穗典禮若有任何問題,請致電03-2655314或至會計系辦周助教。
【大學部撥穗順序】
1-> 會計乙班
2 ->會計丙班
3 ->會計甲班




